Standard Enthalpy Of Formation Endothermic Or Exothermic . the standard enthalpy of formation, \(δh^\circ_\ce{f}\), is the enthalpy change accompanying the formation of 1 mole of. by definition, the standard enthalpy of formation of an element in its most stable form is equal to zero under standard. It means that 33.2 kj of energy is required to form one mole of no 2 from ½ mole of. Examine the various compounds and. note that while the majority of the values of standard enthalpies of formation are exothermic, or negative, there are a few. the standard enthalpy of the formation of nitrogen dioxide is +33.2 kj/mol. There will be a table of standard enthalpies of formation somewhere in your text. the standard enthalpy of formation of any element in its standard state is zero by definition. if the standard enthalpy of formation is defined as the energy change when 1 mole of a substance is formed.
from fity.club
by definition, the standard enthalpy of formation of an element in its most stable form is equal to zero under standard. the standard enthalpy of formation, \(δh^\circ_\ce{f}\), is the enthalpy change accompanying the formation of 1 mole of. if the standard enthalpy of formation is defined as the energy change when 1 mole of a substance is formed. note that while the majority of the values of standard enthalpies of formation are exothermic, or negative, there are a few. the standard enthalpy of the formation of nitrogen dioxide is +33.2 kj/mol. It means that 33.2 kj of energy is required to form one mole of no 2 from ½ mole of. There will be a table of standard enthalpies of formation somewhere in your text. Examine the various compounds and. the standard enthalpy of formation of any element in its standard state is zero by definition.
Endothermic Vs Exothermic Enthalpy
Standard Enthalpy Of Formation Endothermic Or Exothermic the standard enthalpy of the formation of nitrogen dioxide is +33.2 kj/mol. the standard enthalpy of formation, \(δh^\circ_\ce{f}\), is the enthalpy change accompanying the formation of 1 mole of. the standard enthalpy of formation of any element in its standard state is zero by definition. It means that 33.2 kj of energy is required to form one mole of no 2 from ½ mole of. There will be a table of standard enthalpies of formation somewhere in your text. note that while the majority of the values of standard enthalpies of formation are exothermic, or negative, there are a few. Examine the various compounds and. by definition, the standard enthalpy of formation of an element in its most stable form is equal to zero under standard. if the standard enthalpy of formation is defined as the energy change when 1 mole of a substance is formed. the standard enthalpy of the formation of nitrogen dioxide is +33.2 kj/mol.
From www.linseis.com
Determination of the enthalpy instruments and method Standard Enthalpy Of Formation Endothermic Or Exothermic It means that 33.2 kj of energy is required to form one mole of no 2 from ½ mole of. if the standard enthalpy of formation is defined as the energy change when 1 mole of a substance is formed. by definition, the standard enthalpy of formation of an element in its most stable form is equal to. Standard Enthalpy Of Formation Endothermic Or Exothermic.
From curtisminkrueger.blogspot.com
Explain the Difference Between Exothermic and Endothermic Reactions Standard Enthalpy Of Formation Endothermic Or Exothermic if the standard enthalpy of formation is defined as the energy change when 1 mole of a substance is formed. the standard enthalpy of the formation of nitrogen dioxide is +33.2 kj/mol. by definition, the standard enthalpy of formation of an element in its most stable form is equal to zero under standard. There will be a. Standard Enthalpy Of Formation Endothermic Or Exothermic.
From online-learning-college.com
Exothermic and endothermic reactions Key differences Standard Enthalpy Of Formation Endothermic Or Exothermic if the standard enthalpy of formation is defined as the energy change when 1 mole of a substance is formed. the standard enthalpy of formation of any element in its standard state is zero by definition. note that while the majority of the values of standard enthalpies of formation are exothermic, or negative, there are a few.. Standard Enthalpy Of Formation Endothermic Or Exothermic.
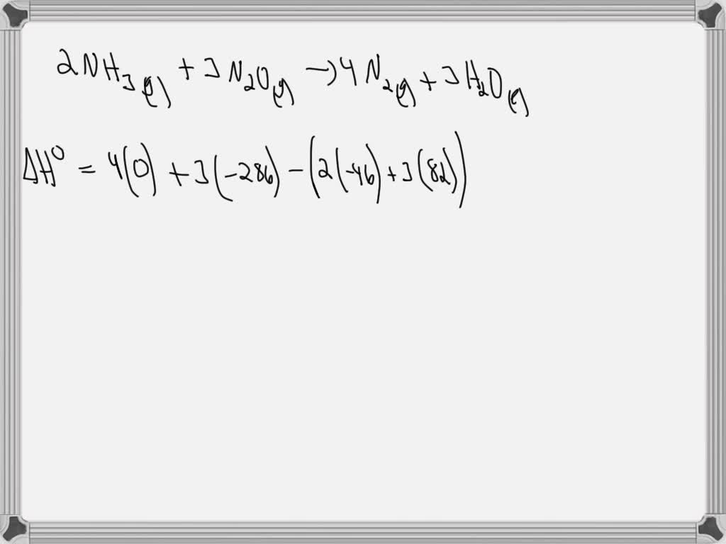
From www.numerade.com
SOLVED Calculate the standard enthalpies of the following reactions Standard Enthalpy Of Formation Endothermic Or Exothermic It means that 33.2 kj of energy is required to form one mole of no 2 from ½ mole of. the standard enthalpy of the formation of nitrogen dioxide is +33.2 kj/mol. by definition, the standard enthalpy of formation of an element in its most stable form is equal to zero under standard. There will be a table. Standard Enthalpy Of Formation Endothermic Or Exothermic.
From studylib.net
Standard Enthalpy of Formation and Reaction Standard Enthalpy Of Formation Endothermic Or Exothermic by definition, the standard enthalpy of formation of an element in its most stable form is equal to zero under standard. Examine the various compounds and. There will be a table of standard enthalpies of formation somewhere in your text. note that while the majority of the values of standard enthalpies of formation are exothermic, or negative, there. Standard Enthalpy Of Formation Endothermic Or Exothermic.
From mungfali.com
Standard Enthalpy Change Equation Standard Enthalpy Of Formation Endothermic Or Exothermic Examine the various compounds and. note that while the majority of the values of standard enthalpies of formation are exothermic, or negative, there are a few. There will be a table of standard enthalpies of formation somewhere in your text. It means that 33.2 kj of energy is required to form one mole of no 2 from ½ mole. Standard Enthalpy Of Formation Endothermic Or Exothermic.
From general.chemistrysteps.com
Standard Enthalpies of Formation Chemistry Steps Standard Enthalpy Of Formation Endothermic Or Exothermic if the standard enthalpy of formation is defined as the energy change when 1 mole of a substance is formed. the standard enthalpy of formation of any element in its standard state is zero by definition. by definition, the standard enthalpy of formation of an element in its most stable form is equal to zero under standard.. Standard Enthalpy Of Formation Endothermic Or Exothermic.
From slideplayer.com
Prairie High School Chemistry ppt download Standard Enthalpy Of Formation Endothermic Or Exothermic the standard enthalpy of formation, \(δh^\circ_\ce{f}\), is the enthalpy change accompanying the formation of 1 mole of. There will be a table of standard enthalpies of formation somewhere in your text. note that while the majority of the values of standard enthalpies of formation are exothermic, or negative, there are a few. It means that 33.2 kj of. Standard Enthalpy Of Formation Endothermic Or Exothermic.
From wiringdatabaseinfo.blogspot.com
Energy Diagram For Endothermic Reaction Wiring Site Resource Standard Enthalpy Of Formation Endothermic Or Exothermic by definition, the standard enthalpy of formation of an element in its most stable form is equal to zero under standard. the standard enthalpy of the formation of nitrogen dioxide is +33.2 kj/mol. the standard enthalpy of formation of any element in its standard state is zero by definition. It means that 33.2 kj of energy is. Standard Enthalpy Of Formation Endothermic Or Exothermic.
From www.slideserve.com
PPT Standard Enthalpies of Formation PowerPoint Presentation, free Standard Enthalpy Of Formation Endothermic Or Exothermic It means that 33.2 kj of energy is required to form one mole of no 2 from ½ mole of. Examine the various compounds and. if the standard enthalpy of formation is defined as the energy change when 1 mole of a substance is formed. by definition, the standard enthalpy of formation of an element in its most. Standard Enthalpy Of Formation Endothermic Or Exothermic.
From www.slideserve.com
PPT 15.2 BornHaber Cycle PowerPoint Presentation ID154554 Standard Enthalpy Of Formation Endothermic Or Exothermic the standard enthalpy of the formation of nitrogen dioxide is +33.2 kj/mol. the standard enthalpy of formation of any element in its standard state is zero by definition. It means that 33.2 kj of energy is required to form one mole of no 2 from ½ mole of. if the standard enthalpy of formation is defined as. Standard Enthalpy Of Formation Endothermic Or Exothermic.
From guidelibhistoblast.z13.web.core.windows.net
Energy Diagram For An Endothermic Reaction Standard Enthalpy Of Formation Endothermic Or Exothermic the standard enthalpy of formation, \(δh^\circ_\ce{f}\), is the enthalpy change accompanying the formation of 1 mole of. the standard enthalpy of formation of any element in its standard state is zero by definition. Examine the various compounds and. if the standard enthalpy of formation is defined as the energy change when 1 mole of a substance is. Standard Enthalpy Of Formation Endothermic Or Exothermic.
From guidelibhistoblast.z13.web.core.windows.net
Exothermic And Endothermic Energy Diagrams Standard Enthalpy Of Formation Endothermic Or Exothermic note that while the majority of the values of standard enthalpies of formation are exothermic, or negative, there are a few. It means that 33.2 kj of energy is required to form one mole of no 2 from ½ mole of. There will be a table of standard enthalpies of formation somewhere in your text. by definition, the. Standard Enthalpy Of Formation Endothermic Or Exothermic.
From www.slideserve.com
PPT ENTHALPY OF FORMATION Combustion of Methanol PowerPoint Standard Enthalpy Of Formation Endothermic Or Exothermic note that while the majority of the values of standard enthalpies of formation are exothermic, or negative, there are a few. It means that 33.2 kj of energy is required to form one mole of no 2 from ½ mole of. the standard enthalpy of formation, \(δh^\circ_\ce{f}\), is the enthalpy change accompanying the formation of 1 mole of.. Standard Enthalpy Of Formation Endothermic Or Exothermic.
From www.numerade.com
SOLVED ( Question 2 What is the standard enthalpy of formation for Standard Enthalpy Of Formation Endothermic Or Exothermic the standard enthalpy of formation of any element in its standard state is zero by definition. Examine the various compounds and. the standard enthalpy of the formation of nitrogen dioxide is +33.2 kj/mol. by definition, the standard enthalpy of formation of an element in its most stable form is equal to zero under standard. There will be. Standard Enthalpy Of Formation Endothermic Or Exothermic.
From www.slideshare.net
Standard enthalpy of formation Standard Enthalpy Of Formation Endothermic Or Exothermic by definition, the standard enthalpy of formation of an element in its most stable form is equal to zero under standard. the standard enthalpy of the formation of nitrogen dioxide is +33.2 kj/mol. It means that 33.2 kj of energy is required to form one mole of no 2 from ½ mole of. the standard enthalpy of. Standard Enthalpy Of Formation Endothermic Or Exothermic.
From slideplayer.com
Introduction to Thermochemistry ppt download Standard Enthalpy Of Formation Endothermic Or Exothermic note that while the majority of the values of standard enthalpies of formation are exothermic, or negative, there are a few. the standard enthalpy of the formation of nitrogen dioxide is +33.2 kj/mol. It means that 33.2 kj of energy is required to form one mole of no 2 from ½ mole of. if the standard enthalpy. Standard Enthalpy Of Formation Endothermic Or Exothermic.
From learn.careers360.com
What is exothermic reactions Standard Enthalpy Of Formation Endothermic Or Exothermic note that while the majority of the values of standard enthalpies of formation are exothermic, or negative, there are a few. the standard enthalpy of the formation of nitrogen dioxide is +33.2 kj/mol. the standard enthalpy of formation of any element in its standard state is zero by definition. if the standard enthalpy of formation is. Standard Enthalpy Of Formation Endothermic Or Exothermic.